Официальное опубликование правовых актов
ОФИЦИАЛЬНОЕ ОПУБЛИКОВАНИЕ
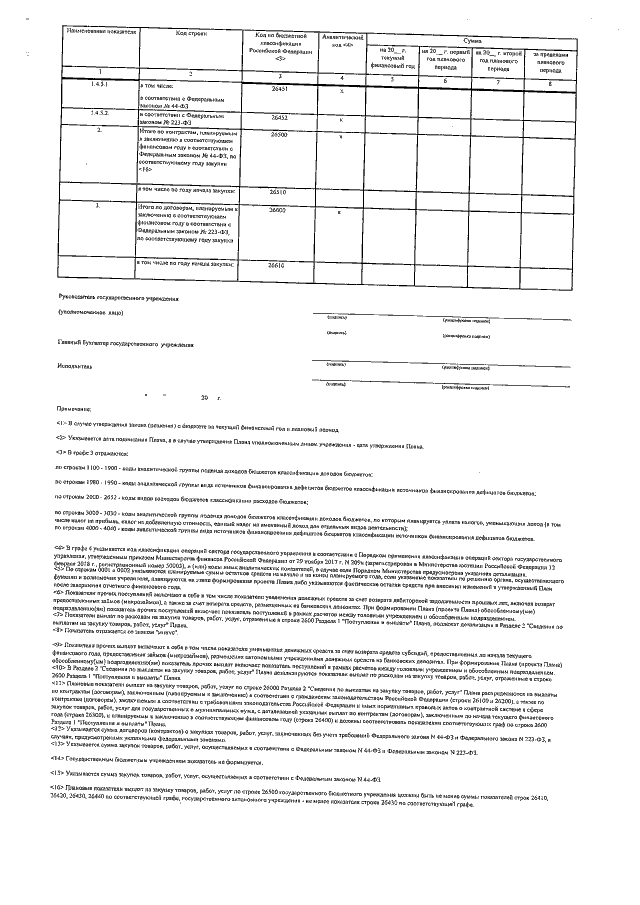
Приказ Министерства природных ресурсов и экологии Республики Карелия от 18.11.2019 № 2089
"Об утверждении порядка составления и утверждения плана финансово-хозяйственной деятельности государственных учреждений, подведомственных Министерству природных ресурсов и экологии Республики Карелия"
Номер опубликования: 1001201911200001
Дата опубликования: 20.11.2019
Страница №13 из 15:
Увеличить