Официальное опубликование правовых актов
ОФИЦИАЛЬНОЕ ОПУБЛИКОВАНИЕ
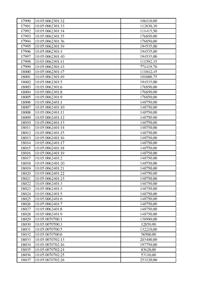
Приказ Министерства имущественных и земельных отношений Республики Карелия от 31.10.2019 № 190
"Об утверждении результатов определения кадастровой стоимости земельных участков, находящихся в составе земель сельскохозяйственного назначения, расположенных на территории Республики Карелия"
Номер опубликования: 1001201911070003
Дата опубликования: 07.11.2019
Страница №378 из 1597:
Увеличить