Официальное опубликование правовых актов
ОФИЦИАЛЬНОЕ ОПУБЛИКОВАНИЕ
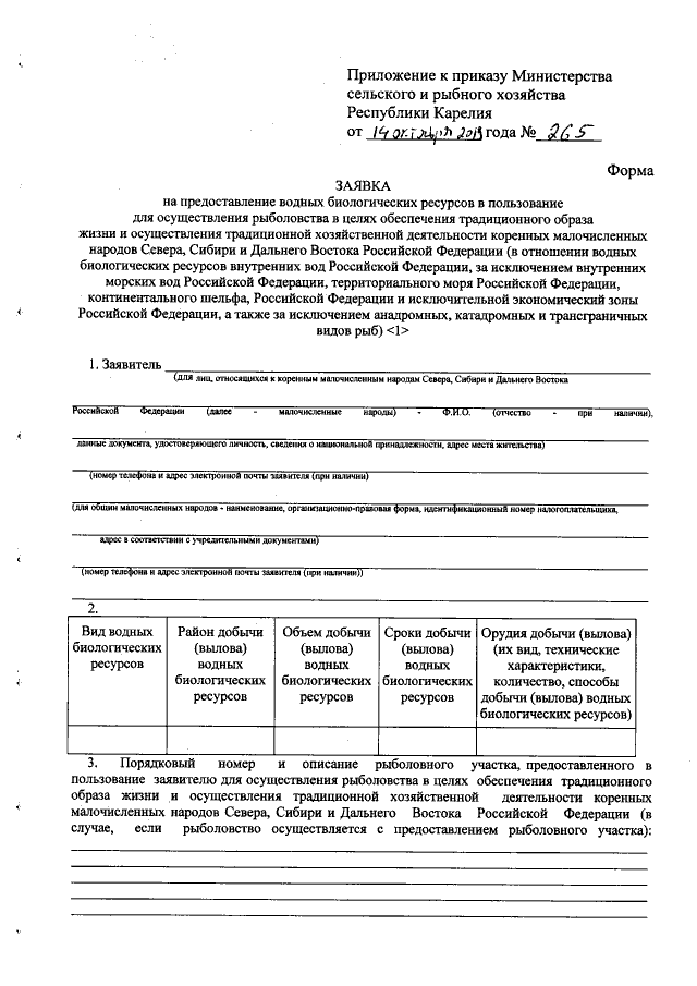
Приказ Министерства сельского и рыбного хозяйства Республики Карелия от 14.10.2019 № 265
"Об утверждении формы заявки на предоставление водных биологических ресурсов в пользование для осуществления рыболовства в целях обеспечения традиционного образа жизни и осуществления традиционной хозяйственной деятельности коренных малочисленных народов Севера, Сибири и Дальнего Востока Российской Федерации"
Номер опубликования: 1001201910160001
Дата опубликования: 16.10.2019
Страница №3 из 4:
Увеличить