Официальное опубликование правовых актов
ОФИЦИАЛЬНОЕ ОПУБЛИКОВАНИЕ
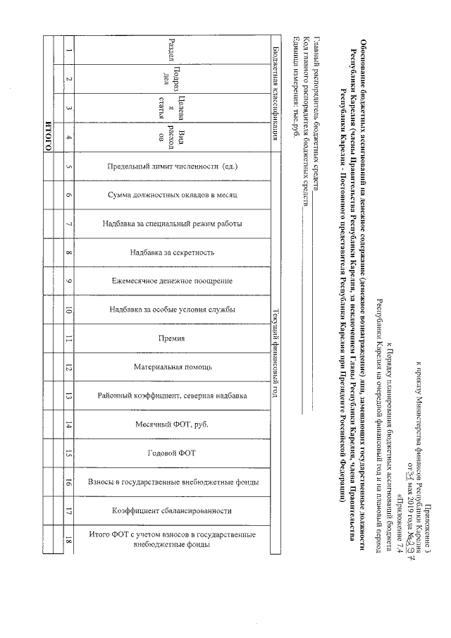
Приказ Министерства финансов Республики Карелия от 31.05.2019 № 297
"О внесении изменений в приказ Министерства финансов Республики Карелия от 28 мая 2018 года № 247"
Номер опубликования: 1001201906030003
Дата опубликования: 03.06.2019
Страница №11 из 29:
Увеличить