Официальное опубликование правовых актов
ОФИЦИАЛЬНОЕ ОПУБЛИКОВАНИЕ
Приказ Министерства сельского и рыбного хозяйства Республики Карелия от 25.03.2019 № 93
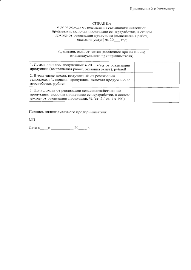
"Об утверждении Административного регламента по предоставлению государственной услуги по предоставлению из бюджета Республики Карелия субсидий на поддержку агропромышленного комплекса Республики Карелия, в том числе источником финансового обеспечения которых являются средства федерального бюджета, юридическим лицам (за исключением субсидий государственным (муниципальным) учреждениям), индивидуальным предпринимателям, а также физическим лицам - производителям товаров, работ, услуг"
Номер опубликования: 1001201903280009
Дата опубликования: 28.03.2019
Страница №19 из 29:
Увеличить