Официальное опубликование правовых актов
ОФИЦИАЛЬНОЕ ОПУБЛИКОВАНИЕ
Приказ Министерства социальной защиты Республики Карелия от 19.02.2019 № 86-П
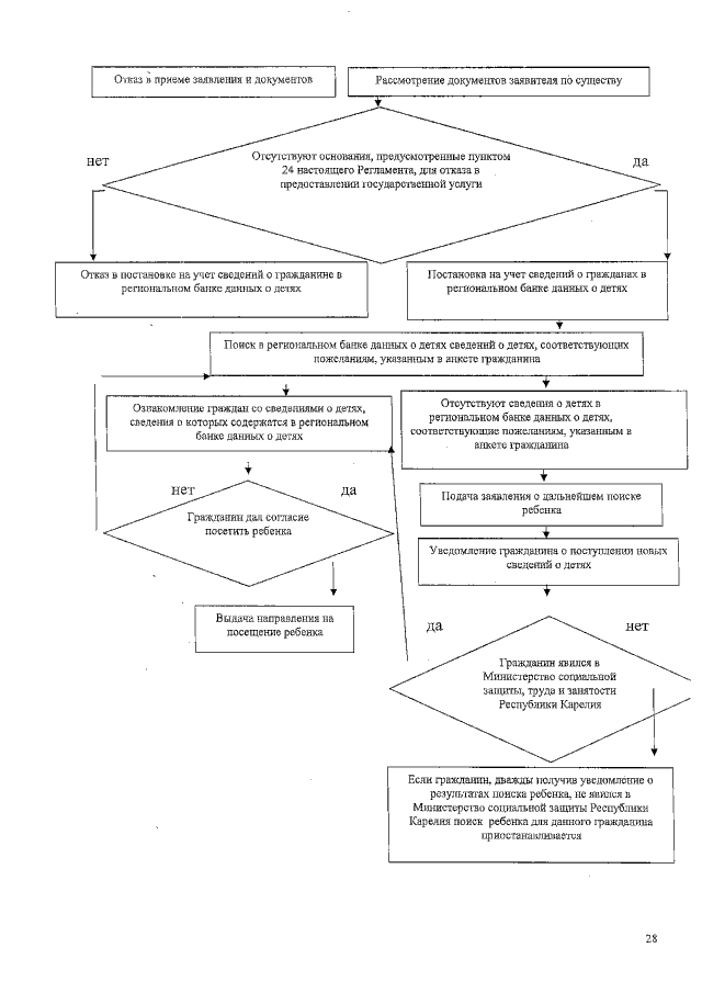
"Об утверждении Административного регламента предоставления Министерством социальной защиты Республики Карелия государственной услуги по предоставлению гражданам информации о детях, оставшихся без попечения родителей, из регионального банка данных о детях, оставшихся без попечения родителей, для передачи их на воспитание в семьи граждан, выдаче предварительных разрешений на усыновление (удочерение) детей в случаях, предусмотренных законодательством Российской Федерации"
Номер опубликования: 1001201902210004
Дата опубликования: 21.02.2019
Страница №29 из 30:
Увеличить