Приказ Министерства социальной защиты Республики Карелия от 20.11.2018 № 774-П
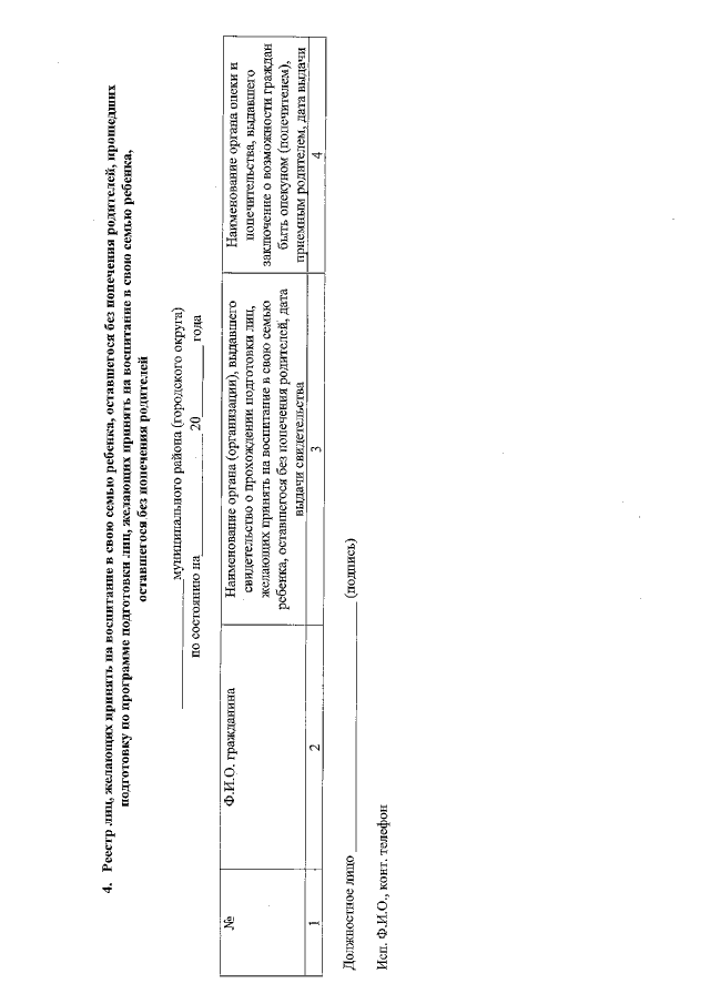
"Об утверждении Порядка ведения реестра граждан, находящихся под опекой и попечительством, лиц, желающих принять на воспитание в свою семью ребенка, оставшегося без попечения родителей, прошедших подготовку по программе подготовки лиц, желающих принять на воспитание в свою семью ребенка, оставшегося без попечения родителей"
"Об утверждении Порядка ведения реестра граждан, находящихся под опекой и попечительством, лиц, желающих принять на воспитание в свою семью ребенка, оставшегося без попечения родителей, прошедших подготовку по программе подготовки лиц, желающих принять на воспитание в свою семью ребенка, оставшегося без попечения родителей"
Номер опубликования: 1001201811220001
Дата опубликования:
22.11.2018
