Официальное опубликование правовых актов
ОФИЦИАЛЬНОЕ ОПУБЛИКОВАНИЕ
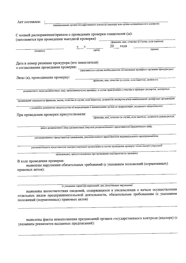
Приказ Министерства природных ресурсов и экологии Республики Карелия от 09.10.2018 № 1786
"Об утверждении Административного регламента исполнения государственной функции по осуществлению регионального государственного экологического надзора на территории Республики Карелия при осуществлении хозяйственной и иной деятельности, за исключением деятельности с использованием объектов, подлежащих федеральному государственному экологическому надзору"
Номер опубликования: 1001201810120001
Дата опубликования: 12.10.2018
Страница №58 из 67:
Увеличить