Официальное опубликование правовых актов
ОФИЦИАЛЬНОЕ ОПУБЛИКОВАНИЕ
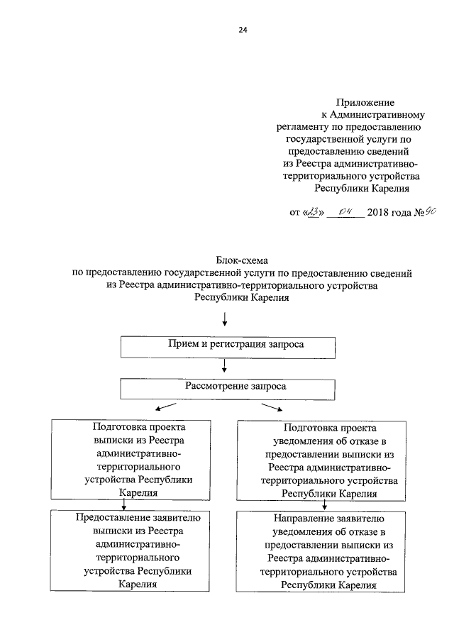
Приказ Министерства национальной и региональной политики Республики Карелия от 23.04.2018 № 90
"Об утверждении административного регламента Министерства национальной и региональной политики Республики Карелия по предоставлению государственной услуги по предоставлению сведений из реестра административно-территориального устройства Республики Карелия"
Номер опубликования: 1001201804270001
Дата опубликования: 27.04.2018
Страница №24 из 24:
Увеличить