Официальное опубликование правовых актов
ОФИЦИАЛЬНОЕ ОПУБЛИКОВАНИЕ
Приказ Министерства финансов Республики Карелия от 06.10.2017 № 412
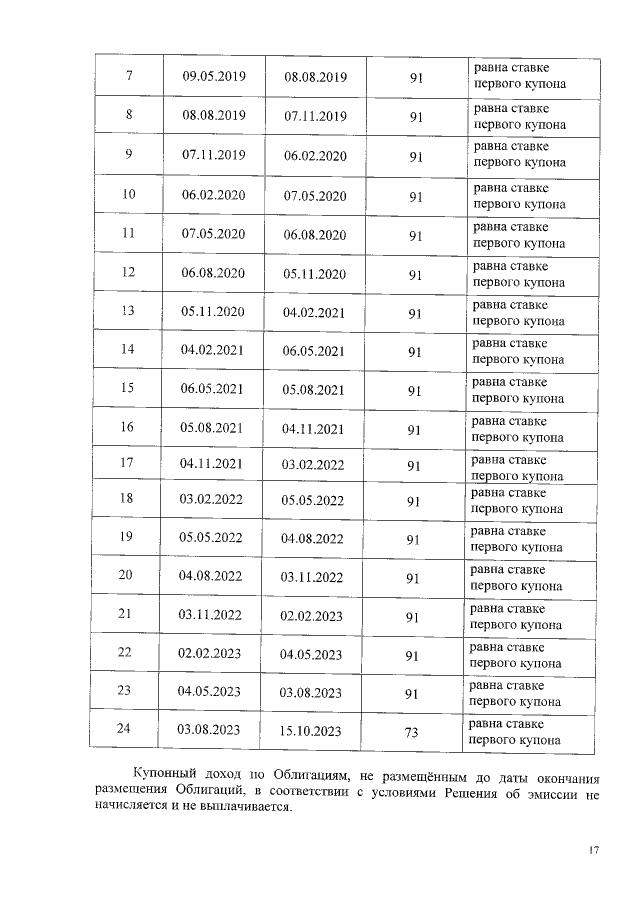
"Об утверждении Решения об эмиссии государственных облигаций Республики Карелия 2017 года в форме документарных ценных бумаг на предъявителя с фиксированным купонным доходом и амортизацией долга"
Номер опубликования: 1001201710100001
Дата опубликования: 10.10.2017
Страница №17 из 19:
Увеличить