Официальное опубликование правовых актов
ОФИЦИАЛЬНОЕ ОПУБЛИКОВАНИЕ
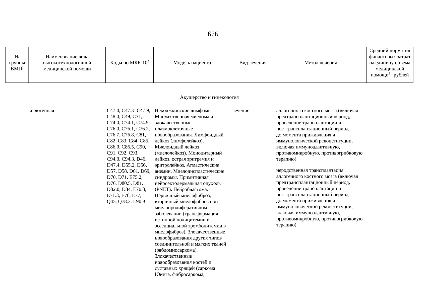
Постановление Правительства Республики Карелия от 30.12.2025 № 477-П
"О Территориальной программе государственных гарантий бесплатного оказания гражданам Российской Федерации медицинской помощи в Республике Карелия на 2026 год и на плановый период 2027 и 2028 годов"
Номер опубликования: 1000202512300011
Дата опубликования: 30.12.2025
Страница №743 из 776:
Увеличить