Официальное опубликование правовых актов
ОФИЦИАЛЬНОЕ ОПУБЛИКОВАНИЕ
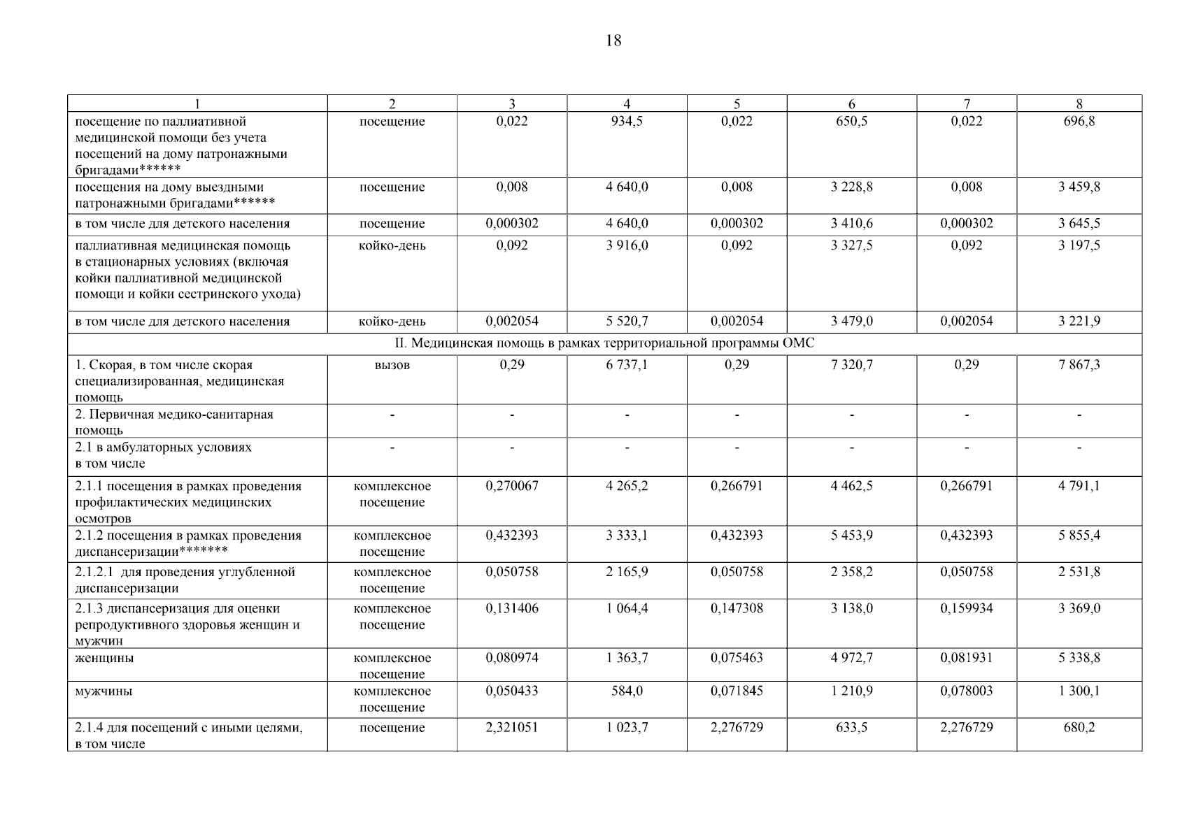
Постановление Правительства Республики Карелия от 05.12.2025 № 410-П
"О внесении изменений в постановление Правительства Республики Карелия от 28 декабря 2024 года № 484-П"
Номер опубликования: 1000202512080001
Дата опубликования: 08.12.2025
Страница №18 из 22:
Увеличить