Официальное опубликование правовых актов
ОФИЦИАЛЬНОЕ ОПУБЛИКОВАНИЕ
Постановление Правительства Республики Карелия от 21.10.2025 № 358-П
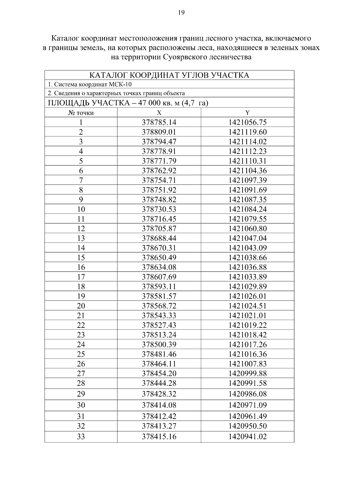
"Об изменении границ земель, на которых расположены леса, находящиеся в зеленых зонах на территории Суоярвского лесничества Республики Карелия"
Номер опубликования: 1000202510280001
Дата опубликования: 28.10.2025
Страница №21 из 23:
Увеличить