Официальное опубликование правовых актов
ОФИЦИАЛЬНОЕ ОПУБЛИКОВАНИЕ
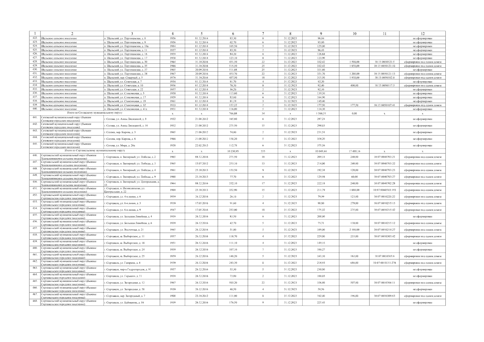
Постановление Правительства Республики Карелия от 24.10.2025 № 361-П
"О внесении изменений в постановление Правительства Республики Карелия от 28 марта 2019 года № 136-П"
Номер опубликования: 1000202510270002
Дата опубликования: 27.10.2025
Страница №16 из 32:
Увеличить