Официальное опубликование правовых актов
ОФИЦИАЛЬНОЕ ОПУБЛИКОВАНИЕ
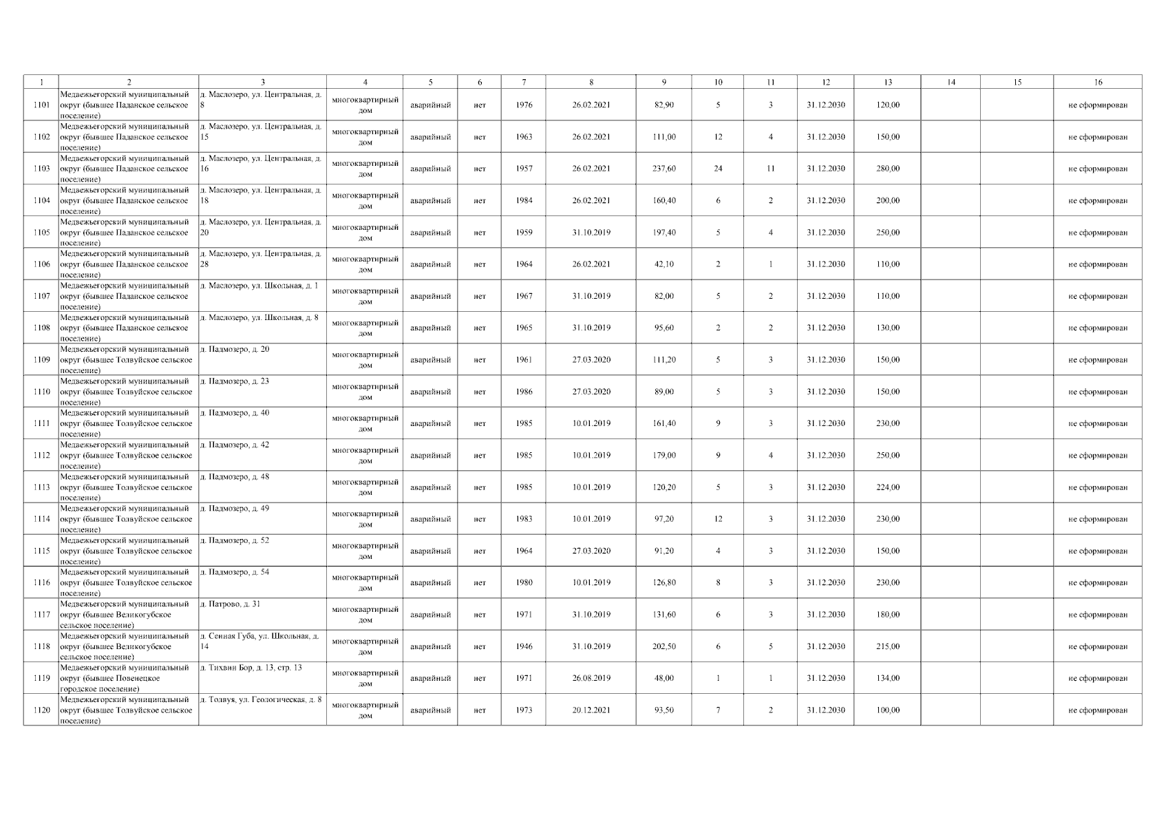
Постановление Правительства Республики Карелия от 21.10.2025 № 357-П
"О внесении изменений в постановление Правительства Республики Карелия от 22 апреля 2024 года № 124-П"
Номер опубликования: 1000202510270001
Дата опубликования: 27.10.2025
Страница №54 из 184:
Увеличить