Официальное опубликование правовых актов
ОФИЦИАЛЬНОЕ ОПУБЛИКОВАНИЕ
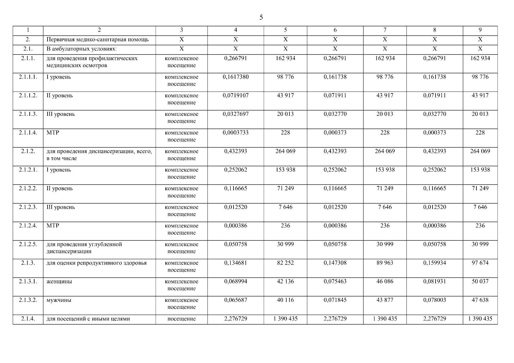
Постановление Правительства Республики Карелия от 23.05.2025 № 177-П
"О внесении изменений в постановление Правительства Республики Карелия от 28 декабря 2024 года № 484-П"
Номер опубликования: 1000202505230004
Дата опубликования: 23.05.2025
Страница №5 из 83:
Увеличить