Официальное опубликование правовых актов
ОФИЦИАЛЬНОЕ ОПУБЛИКОВАНИЕ
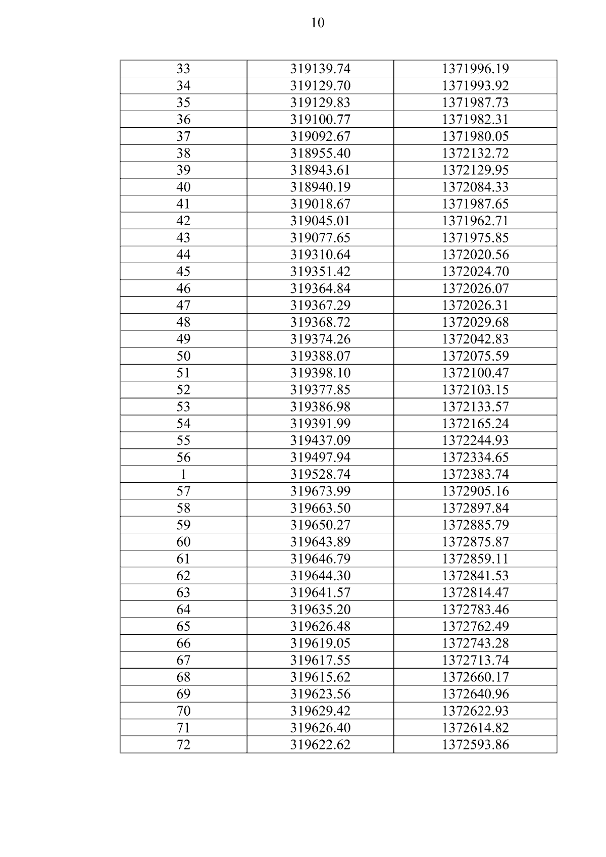
Постановление Правительства Республики Карелия от 03.12.2024 № 400-П
"Об изменении границ земель, на которых расположены леса, находящиеся в зеленых зонах на территории Питкярантского лесничества Республики Карелия"
Номер опубликования: 1000202412030004
Дата опубликования: 03.12.2024
Страница №12 из 22:
Увеличить