Официальное опубликование правовых актов
ОФИЦИАЛЬНОЕ ОПУБЛИКОВАНИЕ
Закон Республики Карелия от 28.10.2024 № 2994-ЗРК
"О внесении изменений в Закон Республики Карелия "О бюджете Республики Карелия на 2024 год и на плановый период 2025 и 2026 годов"
Номер опубликования: 1000202410290006
Дата опубликования: 29.10.2024
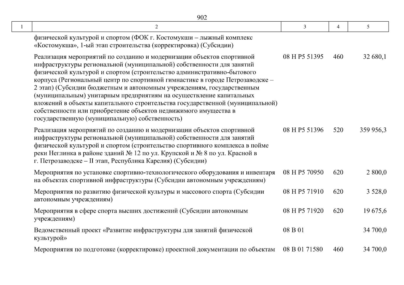
Страница №902 из 927:
Увеличить