Официальное опубликование правовых актов
ОФИЦИАЛЬНОЕ ОПУБЛИКОВАНИЕ
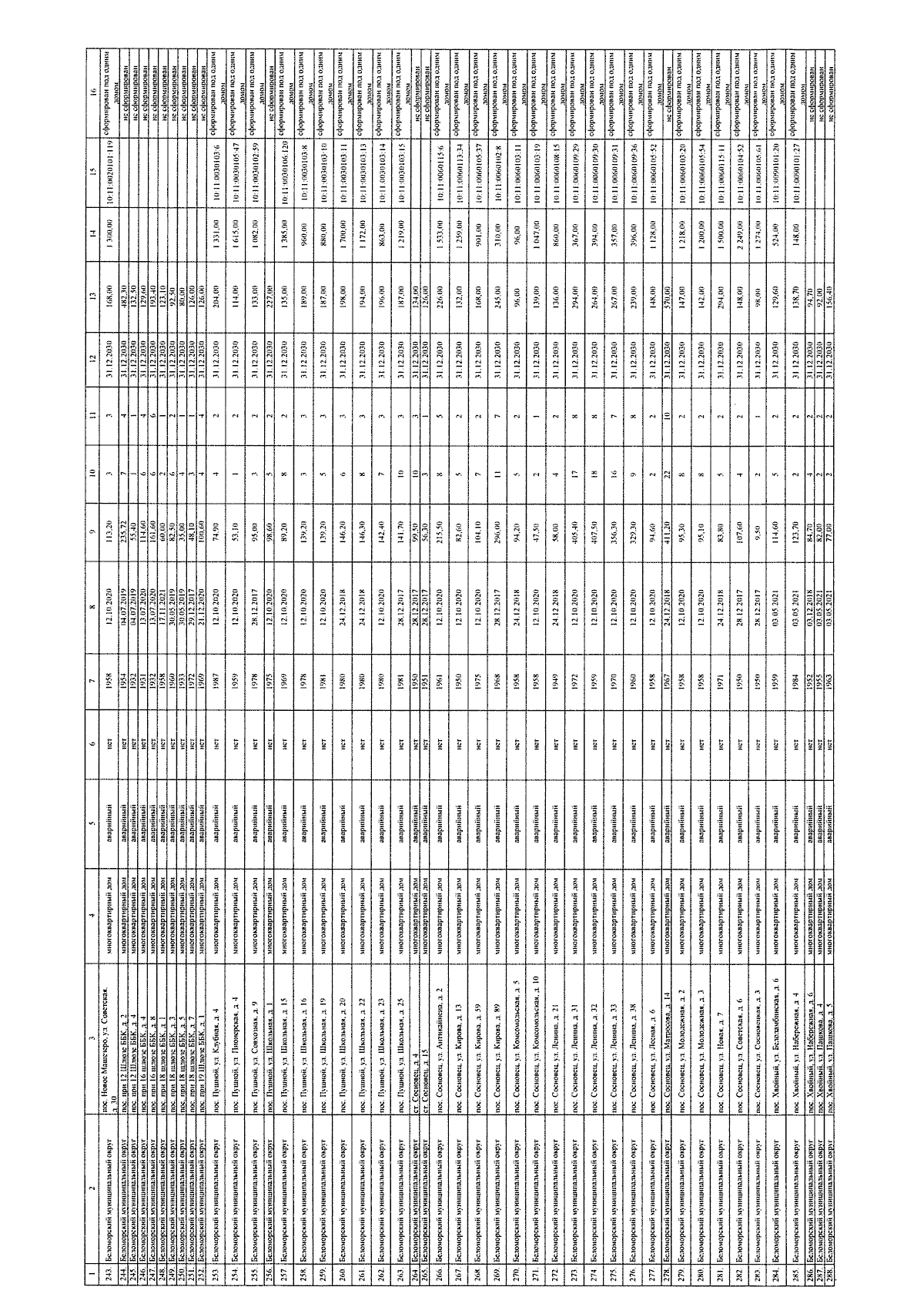
Постановление Правительства Республики Карелия от 17.10.2024 № 340-П
"О внесении изменений в постановление Правительства Республики Карелия от 22 апреля 2024 года № 124-П"
Номер опубликования: 1000202410180003
Дата опубликования: 18.10.2024
Страница №10 из 97:
Увеличить