Официальное опубликование правовых актов
ОФИЦИАЛЬНОЕ ОПУБЛИКОВАНИЕ
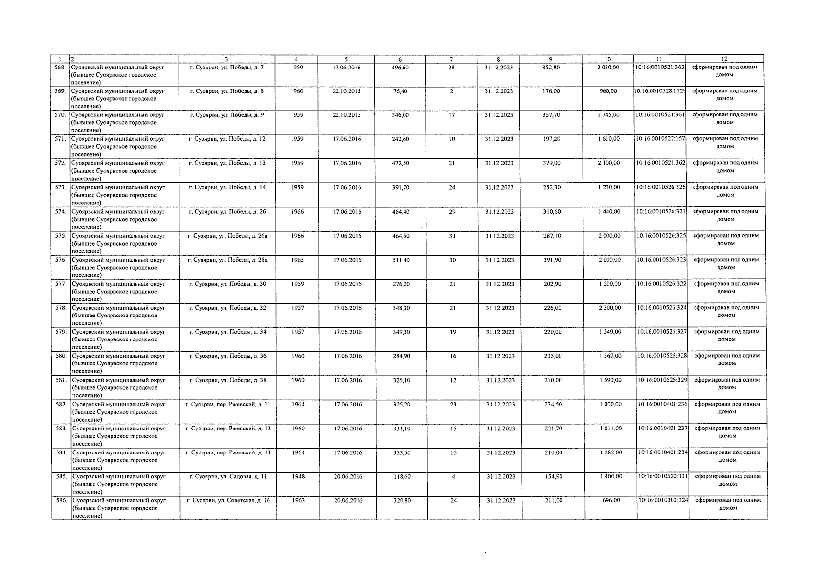
Постановление Правительства Республики Карелия от 31.01.2024 № 31-П
"О внесении изменений в постановление Правительства Республики Карелия от 28 марта 2019 года № 136-П"
Номер опубликования: 1000202402060006
Дата опубликования: 06.02.2024
Страница №24 из 43:
Увеличить