Официальное опубликование правовых актов
ОФИЦИАЛЬНОЕ ОПУБЛИКОВАНИЕ
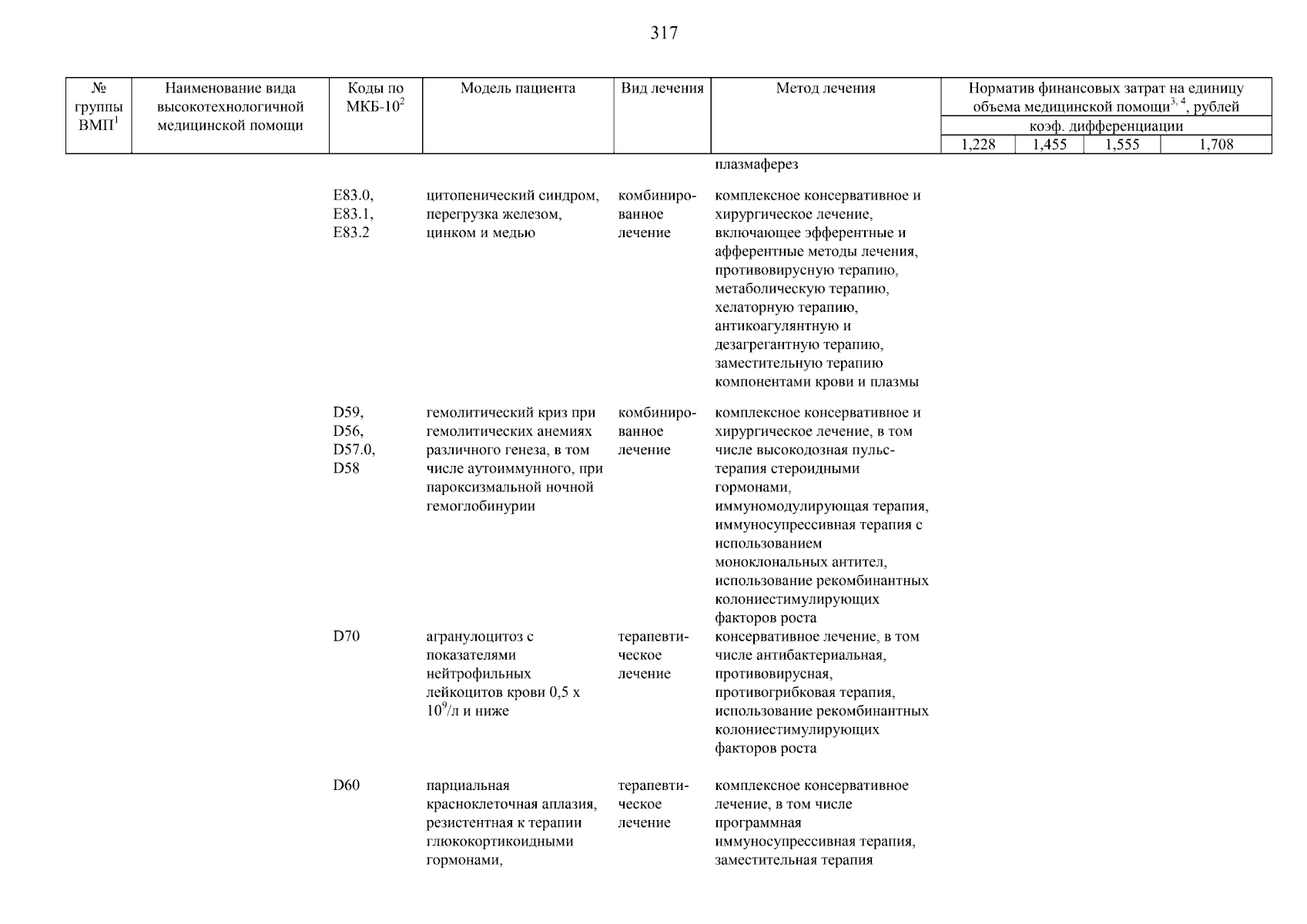
Постановление Правительства Республики Карелия от 29.12.2023 № 650-П
"О Территориальной программе государственных гарантий бесплатного оказания гражданам Российской Федерации медицинской помощи в Республике Карелия на 2024 год и на плановый период 2025 и 2026 годов"
Номер опубликования: 1000202312290015
Дата опубликования: 29.12.2023
Страница №318 из 524:
Увеличить