Официальное опубликование правовых актов
ОФИЦИАЛЬНОЕ ОПУБЛИКОВАНИЕ
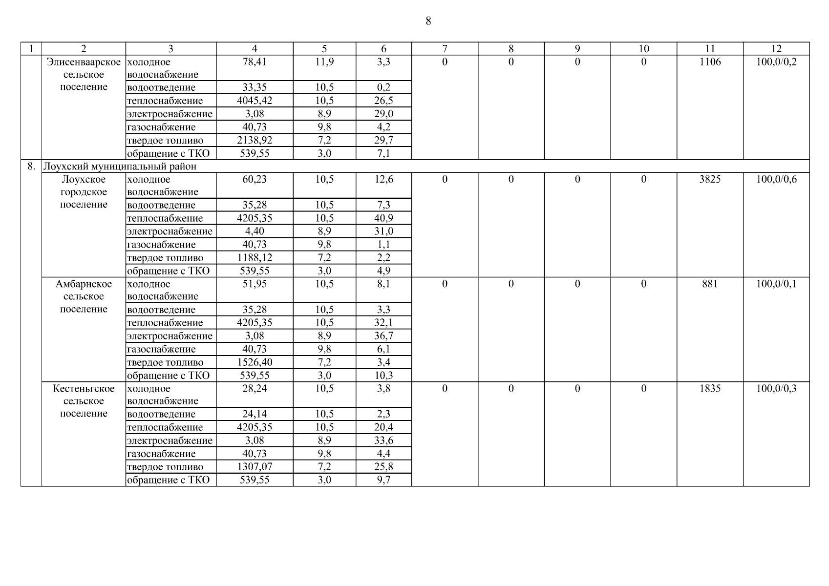
Указ Главы Республики Карелия от 13.12.2023 № 87
"Об утверждении предельных (максимальных) индексов изменения размера вносимой гражданами платы за коммунальные услуги в муниципальных образованиях в Республике Карелия"
Номер опубликования: 1000202312130002
Дата опубликования: 13.12.2023
Страница №13 из 29:
Увеличить