Официальное опубликование правовых актов
ОФИЦИАЛЬНОЕ ОПУБЛИКОВАНИЕ
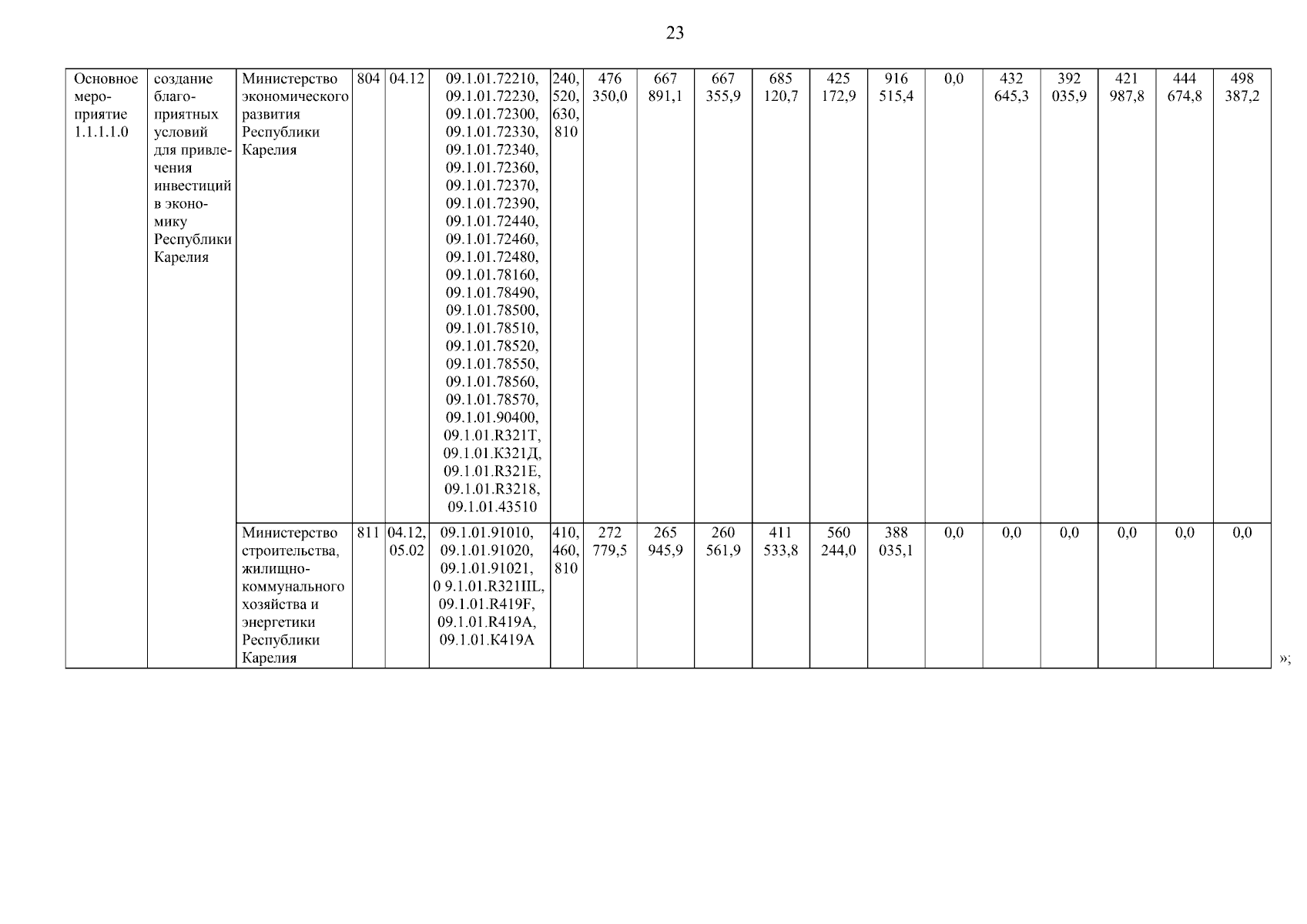
Постановление Правительства Республики Карелия от 28.11.2023 № 540-П
"О внесении изменений в постановление Правительства Республики Карелия от 3 марта 2014 года № 49-П"
Номер опубликования: 1000202312010001
Дата опубликования: 01.12.2023
Страница №23 из 75:
Увеличить