Официальное опубликование правовых актов
ОФИЦИАЛЬНОЕ ОПУБЛИКОВАНИЕ
Постановление Правительства Республики Карелия от 13.11.2023 № 522-П
"О внесении изменений в постановление Правительства Республики Карелия от 20 января 2015 года № 7-П"
Номер опубликования: 1000202311140003
Дата опубликования: 14.11.2023
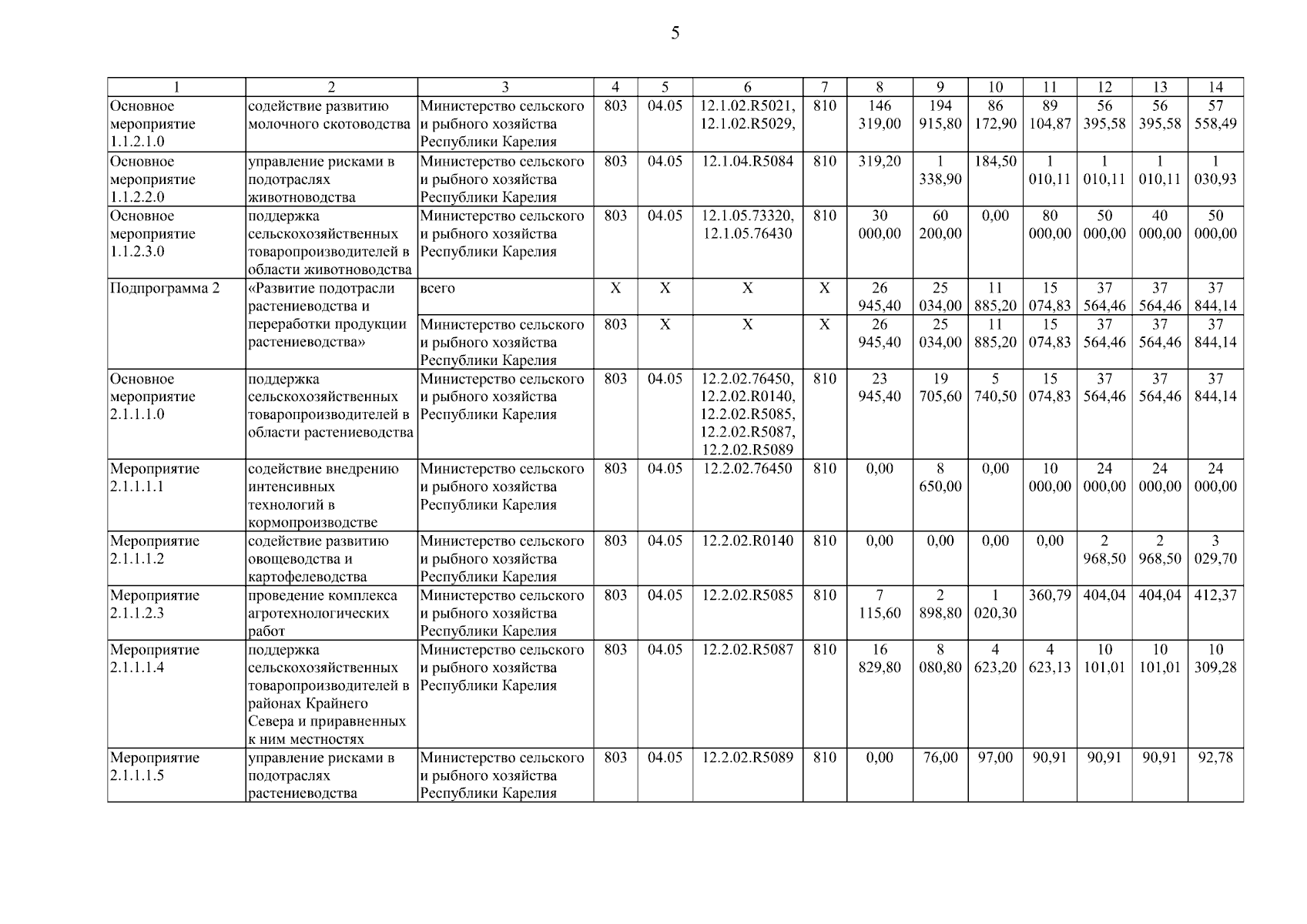
Страница №5 из 20:
Увеличить