Официальное опубликование правовых актов
ОФИЦИАЛЬНОЕ ОПУБЛИКОВАНИЕ
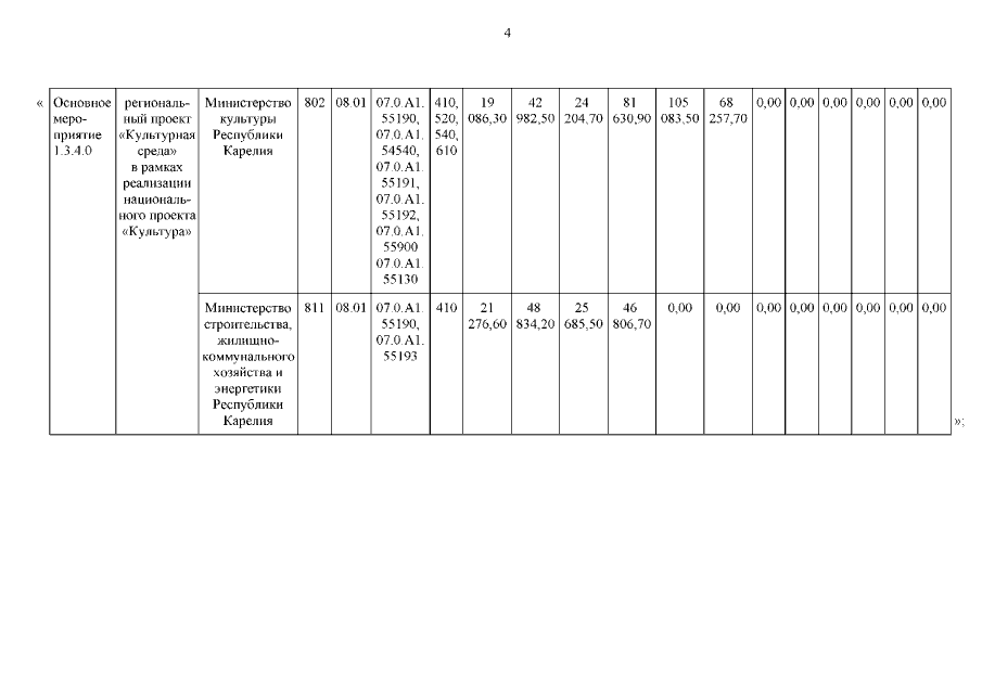
Постановление Правительства Республики Карелия от 16.05.2023 № 231-П
"О внесении изменений в постановление Правительства Республики Карелия от 30 августа 2014 года № 278-П"
Номер опубликования: 1000202305180002
Дата опубликования: 18.05.2023
Страница №4 из 5:
Увеличить