Официальное опубликование правовых актов
ОФИЦИАЛЬНОЕ ОПУБЛИКОВАНИЕ
Постановление Правительства Республики Карелия от 10.05.2023 № 226-П
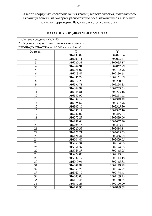
"Об изменении границ земель, на которых расположены леса, находящиеся в зеленых зонах на территории Лахденпохского лесничества Республики Карелия"
Номер опубликования: 1000202305110002
Дата опубликования: 11.05.2023
Страница №28 из 29:
Увеличить