Официальное опубликование правовых актов
ОФИЦИАЛЬНОЕ ОПУБЛИКОВАНИЕ
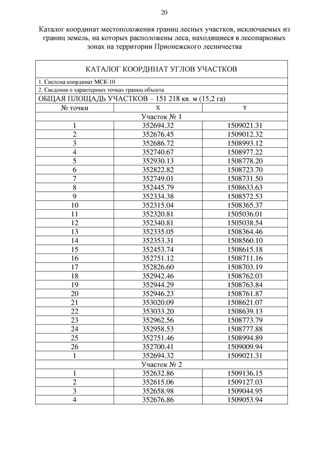
Постановление Правительства Республики Карелия от 05.05.2023 № 221-П
"Об изменении границ земель, на которых расположены леса, находящиеся в лесопарковых зонах на территории Прионежского лесничества Республики Карелия"
Номер опубликования: 1000202305100005
Дата опубликования: 10.05.2023
Страница №22 из 28:
Увеличить