Официальное опубликование правовых актов
ОФИЦИАЛЬНОЕ ОПУБЛИКОВАНИЕ
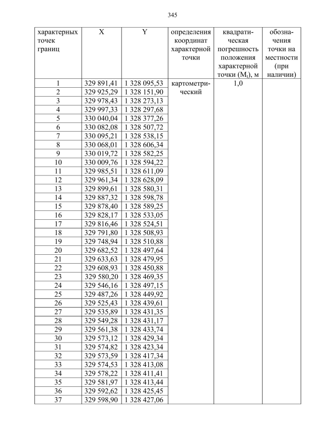
Постановление Правительства Республики Карелия от 02.05.2023 № 210-П
"Об установлении объединенной зоны охраны объектов культурного наследия, расположенных на территории г. Сортавалы, и утверждении требований к градостроительным регламентам в границах территорий данной зоны"
Номер опубликования: 1000202305040002
Дата опубликования: 04.05.2023
Страница №346 из 514:
Увеличить