Официальное опубликование правовых актов
ОФИЦИАЛЬНОЕ ОПУБЛИКОВАНИЕ
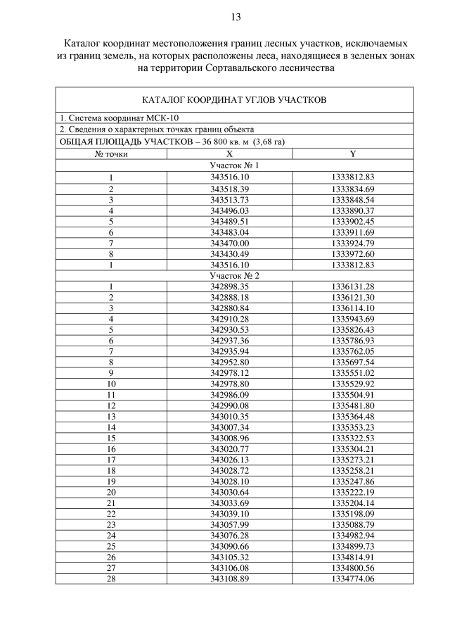
Постановление Правительства Республики Карелия от 02.05.2023 № 206-П
"Об изменении границ земель, на которых расположены леса, находящиеся в зеленых зонах на территории Сортавальского лесничества Республики Карелия"
Номер опубликования: 1000202305030004
Дата опубликования: 03.05.2023
Страница №15 из 25:
Увеличить