Официальное опубликование правовых актов
ОФИЦИАЛЬНОЕ ОПУБЛИКОВАНИЕ
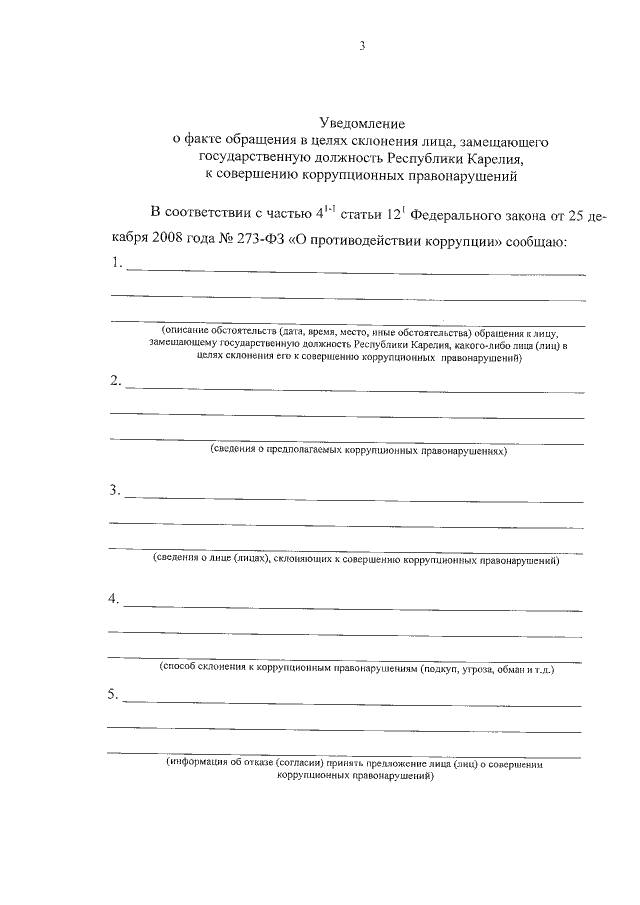
Закон Республики Карелия от 28.04.2023 № 2835-ЗРК
"О внесении изменений в Закон Республики Карелия "О некоторых вопросах государственной гражданской службы и правового положения лиц, замещающих государственные должности"
Номер опубликования: 1000202305020002
Дата опубликования: 02.05.2023
Страница №3 из 4:
Увеличить