Официальное опубликование правовых актов
ОФИЦИАЛЬНОЕ ОПУБЛИКОВАНИЕ
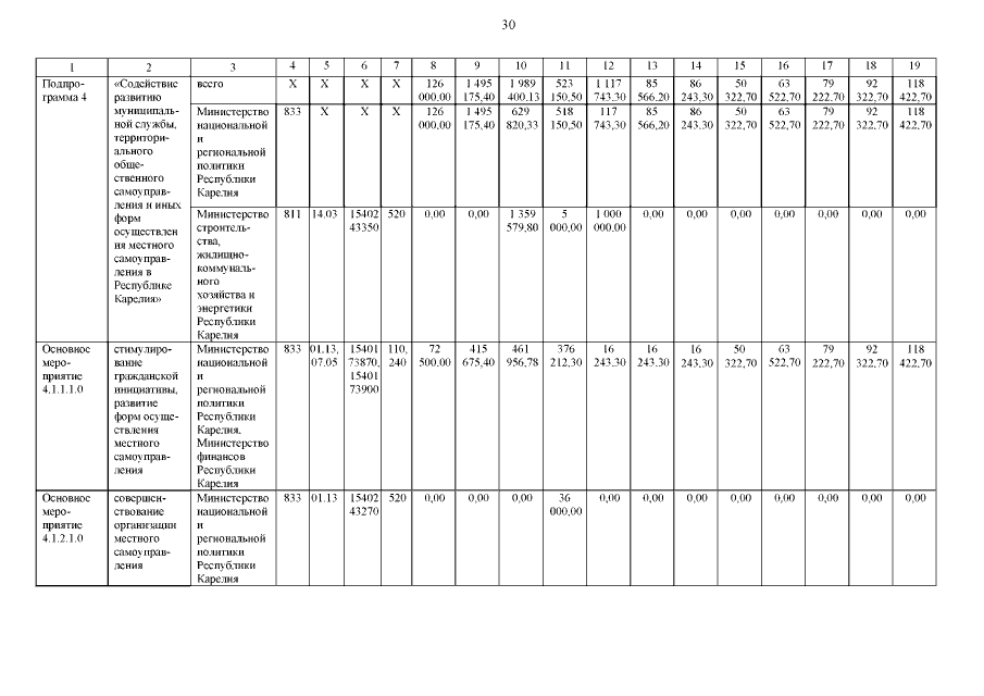
Постановление Правительства Республики Карелия от 31.03.2023 № 153-П
"О внесении изменений в постановление Правительства Республики Карелия от 19 декабря 2013 года № 365-П"
Номер опубликования: 1000202304040002
Дата опубликования: 04.04.2023
Страница №30 из 42:
Увеличить