Официальное опубликование правовых актов
ОФИЦИАЛЬНОЕ ОПУБЛИКОВАНИЕ
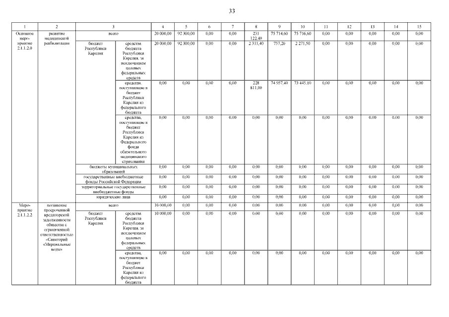
Постановление Правительства Республики Карелия от 21.03.2023 № 125-П
"О внесении изменений в постановление Правительства Республики Карелия от 9 апреля 2015 года № 118-П"
Номер опубликования: 1000202303220002
Дата опубликования: 22.03.2023
Страница №33 из 51:
Увеличить