Официальное опубликование правовых актов
ОФИЦИАЛЬНОЕ ОПУБЛИКОВАНИЕ
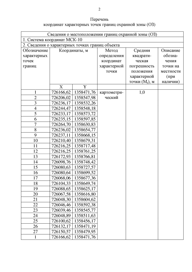
Постановление Правительства Республики Карелия от 02.03.2023 № 98-П
"Об установлении зон охраны объекта культурного наследия регионального значения "Здание Ухтинской ГЭС – первенца сельской электрофикации Карелии", расположенного по адресу: Республика Карелия, Калевальский район, 2 км от пгт Калевала по р. Ухте, и утверждении требований к градостроительным регламентам в границах территорий данных зон"
Номер опубликования: 1000202303060002
Дата опубликования: 06.03.2023
Страница №4 из 45:
Увеличить