Официальное опубликование правовых актов
ОФИЦИАЛЬНОЕ ОПУБЛИКОВАНИЕ
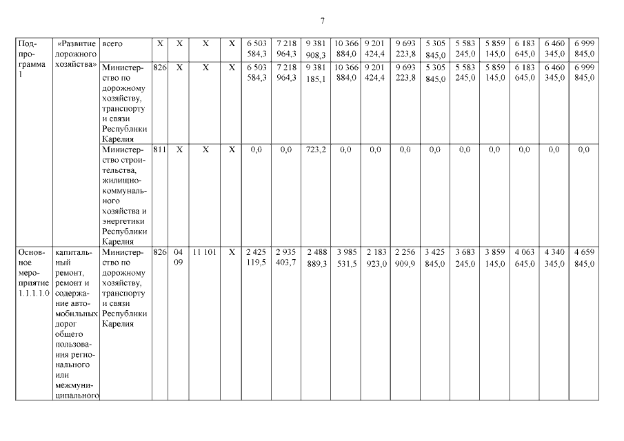
Постановление Правительства Республики Карелия от 27.01.2023 № 24-П
"О внесении изменений в постановление Правительства Республики Карелия от 20 июня 2014 года № 197-П"
Номер опубликования: 1000202301310005
Дата опубликования: 31.01.2023
Страница №7 из 24:
Увеличить