Официальное опубликование правовых актов
ОФИЦИАЛЬНОЕ ОПУБЛИКОВАНИЕ
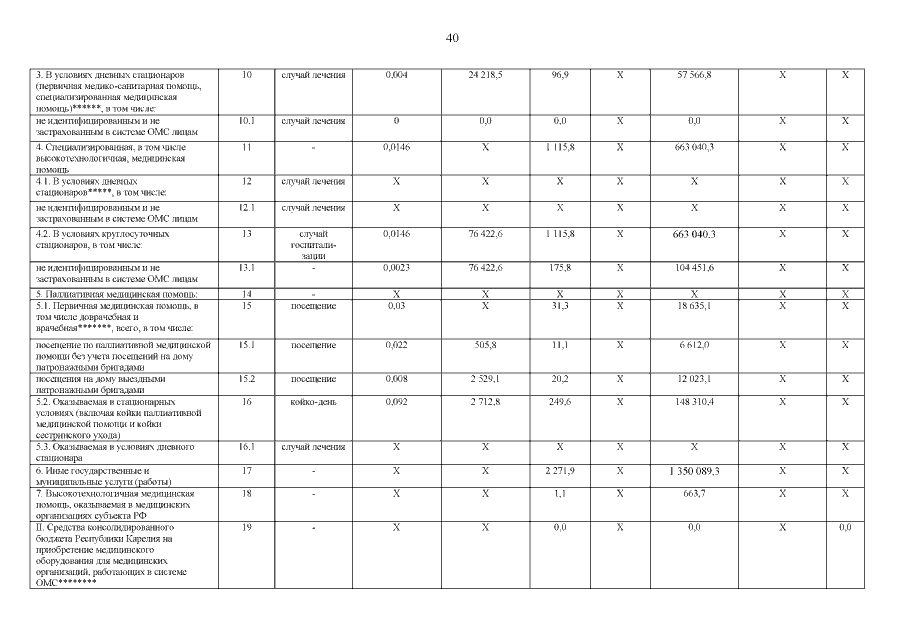
Постановление Правительства Республики Карелия от 28.12.2022 № 760-П
"О Территориальной программе государственных гарантий бесплатного оказания гражданам медицинской помощи в Республике Карелия на 2023 год и на плановый период 2024 и 2025 годов"
Номер опубликования: 1000202212290004
Дата опубликования: 29.12.2022
Страница №75 из 460:
Увеличить