Официальное опубликование правовых актов
ОФИЦИАЛЬНОЕ ОПУБЛИКОВАНИЕ
Постановление Правительства Республики Карелия от 02.12.2022 № 653-П
"О внесении изменений в постановление Правительства Республики Карелия от 26 ноября 2014 года № 351-П"
Номер опубликования: 1000202212050005
Дата опубликования: 05.12.2022
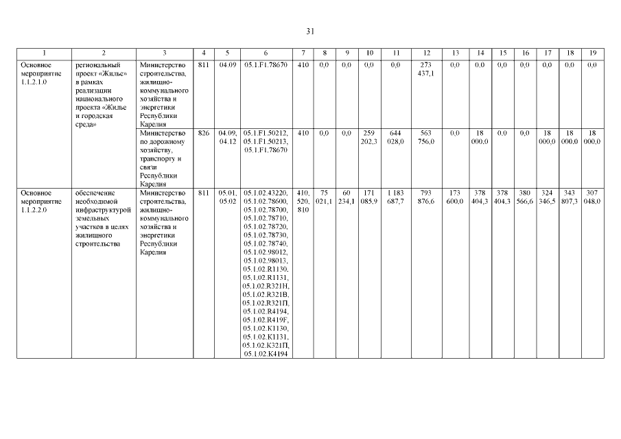
Страница №31 из 66:
Увеличить