Официальное опубликование правовых актов
ОФИЦИАЛЬНОЕ ОПУБЛИКОВАНИЕ
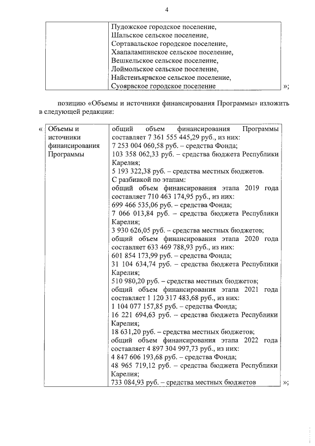
Постановление Правительства Республики Карелия от 02.11.2022 № 598-П
"О внесении изменений в постановление Правительства Республики Карелия от 28 марта 2019 года № 136-П"
Номер опубликования: 1000202211080001
Дата опубликования: 08.11.2022
Страница №4 из 40:
Увеличить