Официальное опубликование правовых актов
ОФИЦИАЛЬНОЕ ОПУБЛИКОВАНИЕ
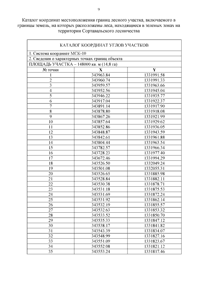
Постановление Правительства Республики Карелия от 30.08.2022 № 474-П
"Об изменении границ земель, на которых расположены леса, находящиеся в зеленых зонах на территории Сортавальского лесничества Республики Карелия"
Номер опубликования: 1000202209010005
Дата опубликования: 01.09.2022
Страница №36 из 37:
Увеличить