Официальное опубликование правовых актов
ОФИЦИАЛЬНОЕ ОПУБЛИКОВАНИЕ
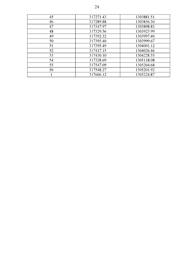
Постановление Правительства Республики Карелия от 30.08.2022 № 475-П
"Об изменении границ земель, на которых расположены леса, находящиеся в зеленых зонах на территории Лахденпохского лесничества Республики Карелия"
Номер опубликования: 1000202209010002
Дата опубликования: 01.09.2022
Страница №26 из 32:
Увеличить