Постановление Правительства Республики Карелия от 29.06.2022 № 360-П
"О размерах регионального стандарта стоимости жилищно-коммунальных услуг на второе полугодие 2022 года – первое полугодие 2023 года по муниципальным образованиям в Республике Карелия"
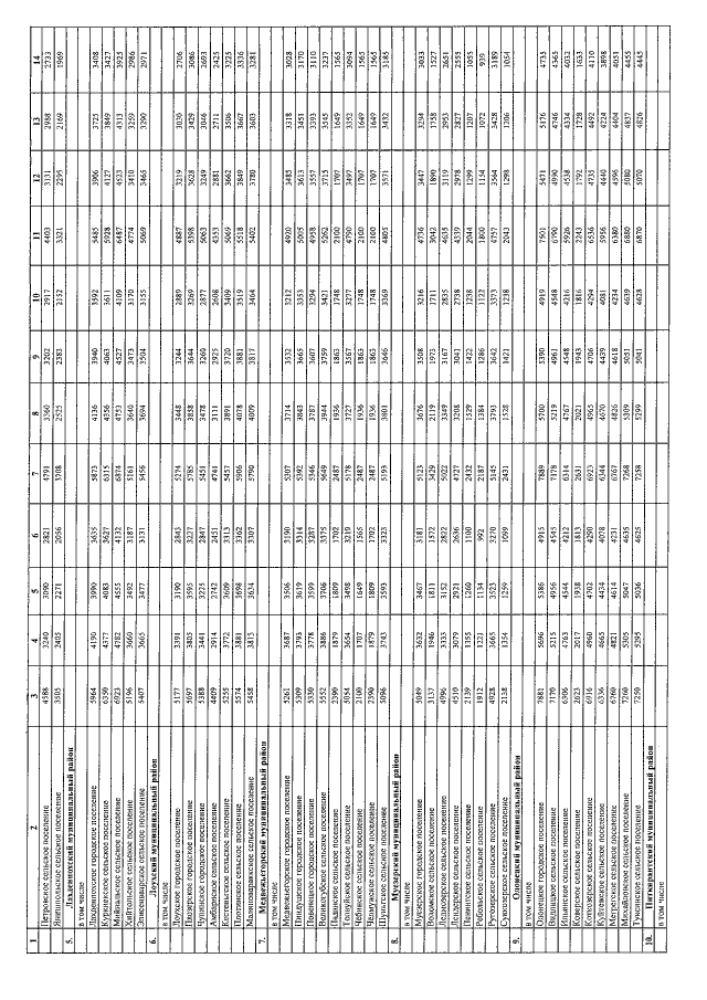
"О размерах регионального стандарта стоимости жилищно-коммунальных услуг на второе полугодие 2022 года – первое полугодие 2023 года по муниципальным образованиям в Республике Карелия"
Номер опубликования: 1000202206290007
Дата опубликования:
29.06.2022
