Официальное опубликование правовых актов
ОФИЦИАЛЬНОЕ ОПУБЛИКОВАНИЕ
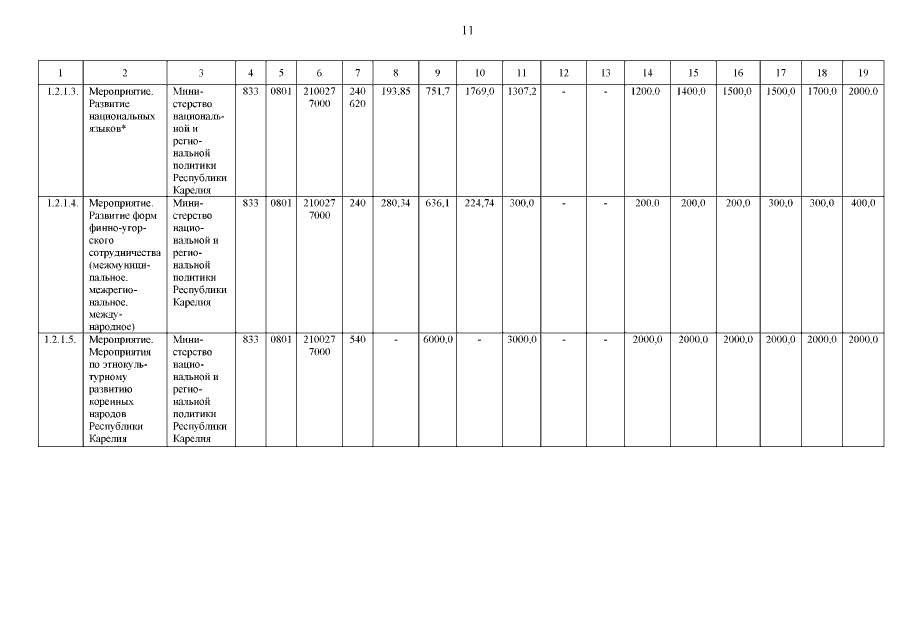
Постановление Правительства Республики Карелия от 28.03.2022 № 169-П
"О внесении изменений в постановление Правительства Республики Карелия от 24 января 2018 года № 22-П"
Номер опубликования: 1000202203300017
Дата опубликования: 30.03.2022
Страница №11 из 20:
Увеличить