Официальное опубликование правовых актов
ОФИЦИАЛЬНОЕ ОПУБЛИКОВАНИЕ
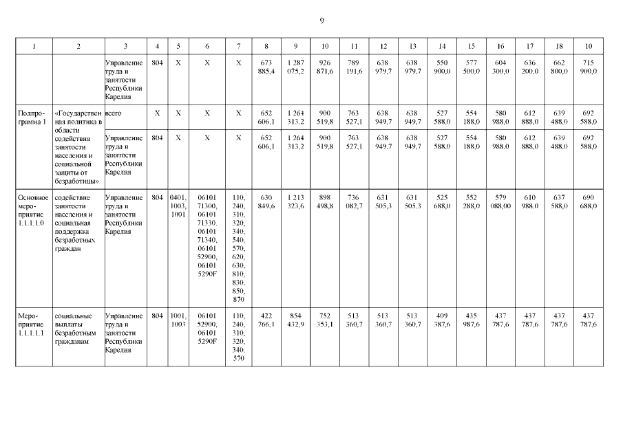
Постановление Правительства Республики Карелия от 24.03.2022 № 165-П
"О внесении изменений в постановление Правительства Республики Карелия от 13 декабря 2013 года № 361-П"
Номер опубликования: 1000202203300011
Дата опубликования: 30.03.2022
Страница №9 из 29:
Увеличить