Официальное опубликование правовых актов
ОФИЦИАЛЬНОЕ ОПУБЛИКОВАНИЕ
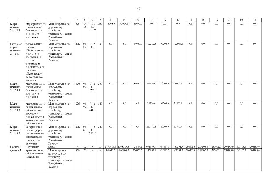
Постановление Правительства Республики Карелия от 14.03.2022 № 110-П
"О внесении изменений в постановление Правительства Республики Карелия от 20 июня 2014 года № 197-П"
Номер опубликования: 1000202203160006
Дата опубликования: 16.03.2022
Страница №47 из 93:
Увеличить