Официальное опубликование правовых актов
ОФИЦИАЛЬНОЕ ОПУБЛИКОВАНИЕ
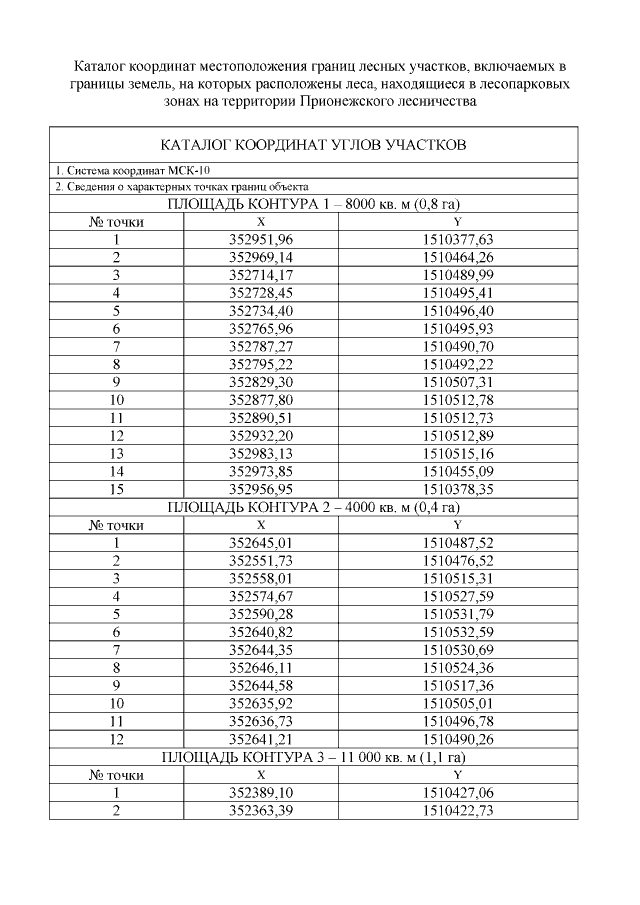
Постановление Правительства Республики Карелия от 14.01.2022 № 9-П
"Об изменении границ земель, на которых расположены леса, находящиеся в лесопарковых зонах на территории Прионежского лесничества Республики Карелия"
Номер опубликования: 1000202201180004
Дата опубликования: 18.01.2022
Страница №11 из 13:
Увеличить