Официальное опубликование правовых актов
ОФИЦИАЛЬНОЕ ОПУБЛИКОВАНИЕ
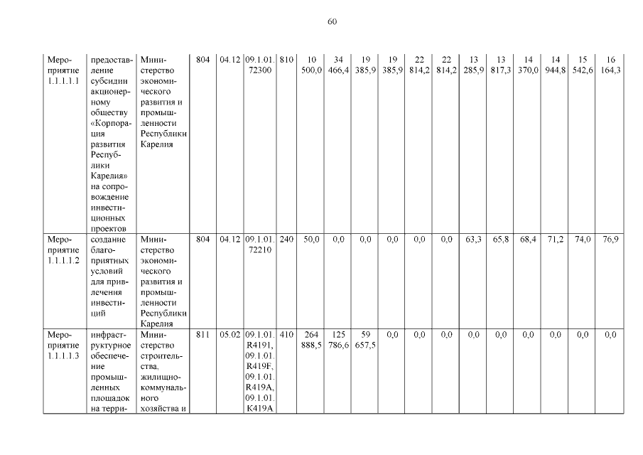
Постановление Правительства Республики Карелия от 11.01.2022 № 3-П
"О внесении изменений в постановление Правительства Республики Карелия от 3 марта 2014 года № 49-П"
Номер опубликования: 1000202201140004
Дата опубликования: 14.01.2022
Страница №60 из 182:
Увеличить