Официальное опубликование правовых актов
ОФИЦИАЛЬНОЕ ОПУБЛИКОВАНИЕ
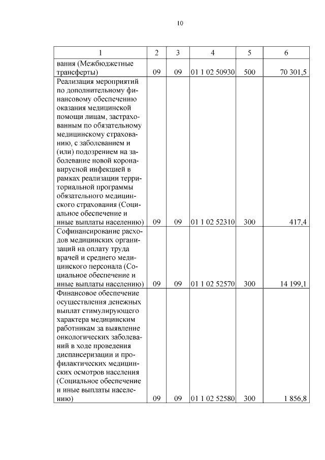
Закон Республики Карелия от 29.12.2021 № 2657-ЗРК
"О внесении изменений в Закон Республики Карелия "О бюджете Территориального фонда обязательного медицинского страхования Республики Карелия на 2021 год и на плановый период 2022 и 2023 годов"
Номер опубликования: 1000202112290022
Дата опубликования: 29.12.2021
Страница №10 из 22:
Увеличить