Официальное опубликование правовых актов
ОФИЦИАЛЬНОЕ ОПУБЛИКОВАНИЕ
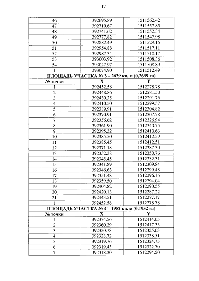
Постановление Правительства Республики Карелия от 10.12.2021 № 568-П
"Об изменении границ земель, на которых расположены леса, находящиеся в лесопарковых и зеленых зонах на территории Кондопожского и Прионежского лесничеств Республики Карелия"
Номер опубликования: 1000202112140007
Дата опубликования: 14.12.2021
Страница №19 из 45:
Увеличить