Официальное опубликование правовых актов
ОФИЦИАЛЬНОЕ ОПУБЛИКОВАНИЕ
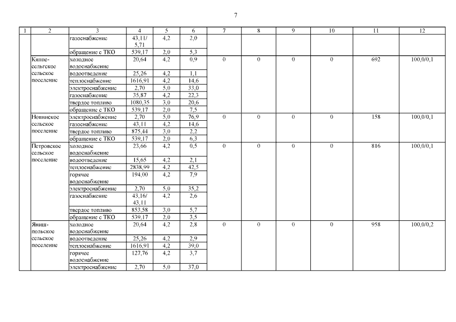
Указ Главы Республики Карелия от 10.12.2021 № 80
"Об утверждении предельных (максимальных) индексов изменения размера вносимой гражданами платы за коммунальные услуги в муниципальных образованиях в Республике Карелия"
Номер опубликования: 1000202112130006
Дата опубликования: 13.12.2021
Страница №12 из 33:
Увеличить