Официальное опубликование правовых актов
ОФИЦИАЛЬНОЕ ОПУБЛИКОВАНИЕ
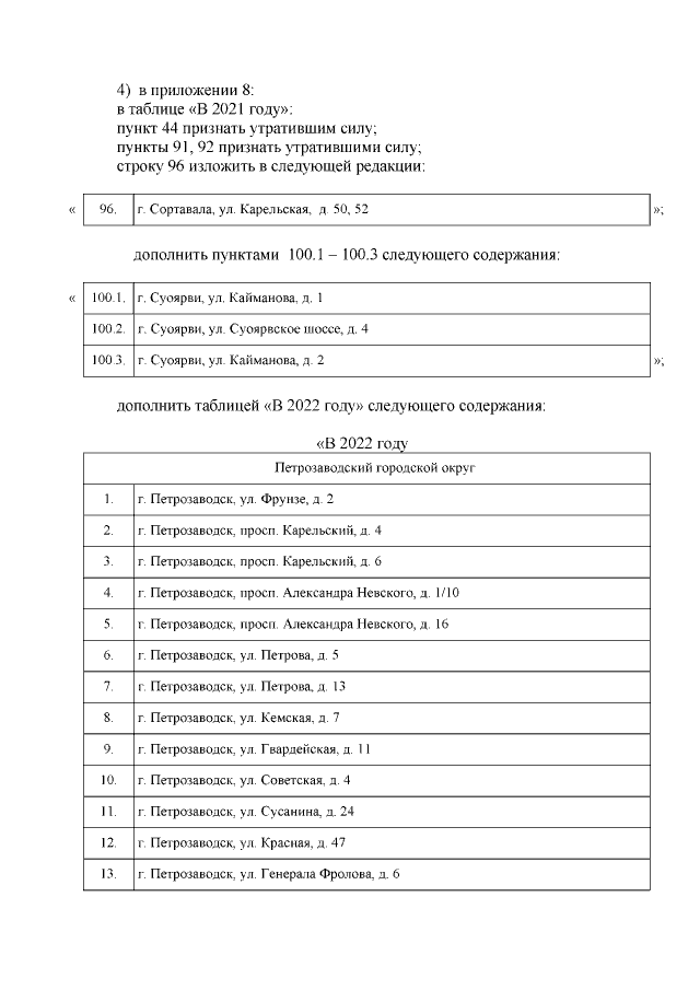
Постановление Правительства Республики Карелия от 29.10.2021 № 496-П
"О внесении изменений в постановление Правительства Республики Карелия от 31 августа 2017 года № 301-П"
Номер опубликования: 1000202110290013
Дата опубликования: 29.10.2021
Страница №7 из 18:
Увеличить