Официальное опубликование правовых актов
ОФИЦИАЛЬНОЕ ОПУБЛИКОВАНИЕ
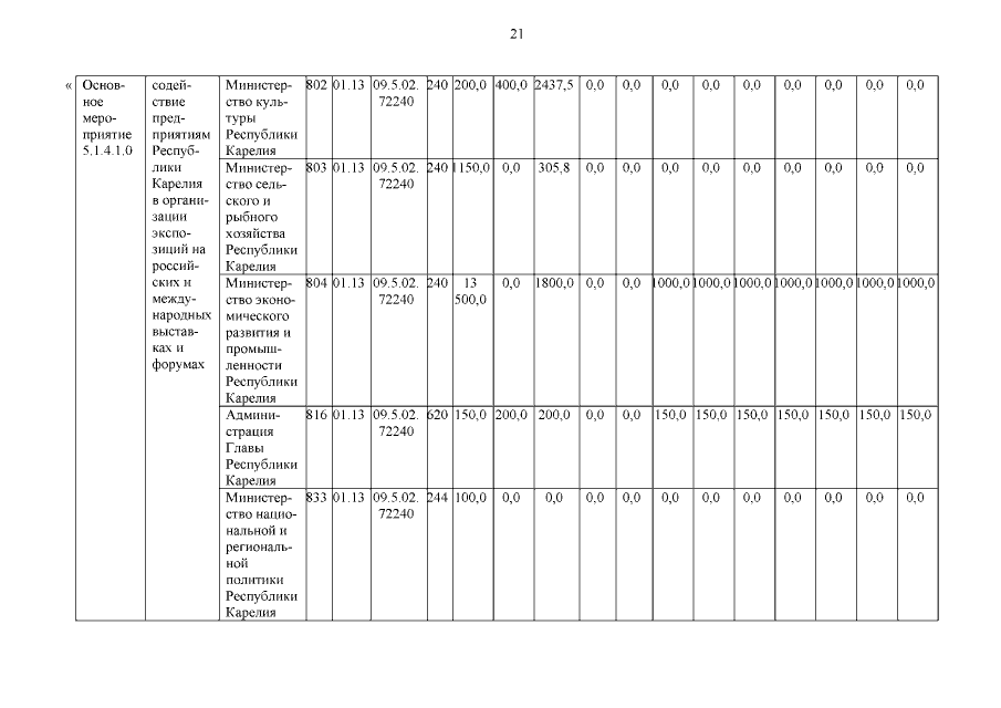
Постановление Правительства Республики Карелия от 29.10.2021 № 498-П
"О внесении изменений в постановление Правительства Республики Карелия от 3 марта 2014 года № 49-П"
Номер опубликования: 1000202110290009
Дата опубликования: 29.10.2021
Страница №21 из 34:
Увеличить